31. The inversion of a mechanism is
A. changing of a higher pair to a lower pair
B. turning its upside down
C. obtained by fixing different links in a kinematic chain
D. obtained by reversing the input and output motion
32. The coefficient of fluctuation of energy is the ratio of maximum energy to the minimum energy.
A. True
B. False
33. When the nature of contact between the elements of a pair is such that it can only slide relative to the other, the pair is known as a
A. screw pair
B. spherical pair
C. turning pair
D. sliding pair
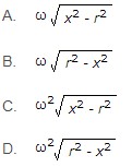
34. The velocity of a particle moving with simple harmonic motion, at any instant is given by (where ω = Displacement of the particle from the mean position)

35. The velocity of the piston in a reciprocating steam engine is given by (where ω = Angular velocity of the crank, r = Radius of crankpin circle, θ = Angle turned by a crank from inner dead center and n = Ratio of length of connecting the rod to the radius of the crank)

36. The primary unbalanced force is maximum __________ in one revolution of the crank.
A. twice
B. four times
C. eight times
D. sixteen times
37. The instantaneous centers which vary with the configuration of mechanism, are called
A. permanent instantaneous centers
B. fixed instantaneous centers
C. neither fixed nor permanent instantaneous centers
D. none of the above
38. The displacement of the reciprocating roller follower, when it has contact with the straight flanks of the tangent cam, is given by (where r1 = Minimum radius of the cam, r2 = Radius of the roller follower, and θ = Angle turned by the cam from the beginning of the follower displacement)

39. In considering friction of a V-thread, the virtual coefficient of friction (μ1) is given by

40. The wear of bearing is proportional to velocity and pressure.
A. Yes
B. No
